The history and future of X-ray astronomy

Professor Andrew Norton

image

andrew.norton@open.ac.uk

http://www.open.ac.uk/people/ajn3

Research interests include:

General time domain astrophysics, focussing on stellar multiplicity and variability from wide field surveys for transiting exoplanets, especially SuperWASP.

Observations and modelling of Magnetic Cataclysmic Variables, in particular multi-wavelength observations of Intermediate Polars and modelling of their accretion flows.

Observations and modelling of High Mass X-ray Binaries, in particular radial velocity studies of eclipsing systems to determine masses of neutron stars and black holes.

My notes from the lecture (if they don’t make sense then it is entirely my fault)

A typical X-ray photo is a shadow picture. The X-rays pass through skin but are absorbed by the bones.

image

In astronomy the object emits X-rays and these are detected.

What are X-rays?

X –rays are very high energy electromagnetic radiation

They propagate like a wave but interact with things like a stream of particles.

X-ray astronomy must be carried out in space because the atmosphere absorbs X-rays.

image

Electromagnetic radiation displays wave-particle duality. That is, they can behave like a wave or a steam of particles, known as photons. Energy carried by X-ray photons ranges from about 1KeV to 1MeV, however there is no strict dividing line between the different parts of the electromagnetic spectrum. In other words you can’t tell where ultra-violet ends and X-rays begin or where X-rays end and gamma rays begin. In A level physics I usually tell my students that what usually distinguishes X-rays from gamma rays is the method by which they are created.

https://en.wikipedia.org/wiki/Gamma_ray#Distinction_from_X-rays

The conventional distinction between X-rays and gamma rays has changed over time. Originally, the electromagnetic radiation emitted by X-ray tubes almost invariably had a longer wavelength than the radiation (gamma rays) emitted by radioactive nuclei. Older literature distinguished between X- and gamma radiation on the basis of wavelength, with radiation shorter than some arbitrary wavelength, such as 10−11 m, defined as gamma rays. Since the energy of photons is proportional to their frequency and inversely proportional to wavelength, this past distinction between X-rays and gamma rays can also be thought of in terms of its energy, with gamma rays considered to be higher energy electromagnetic radiation than are X-rays.

However, since current artificial sources are now able to duplicate any electromagnetic radiation that originates in the nucleus, as well as far higher energies, the wavelengths characteristic of radioactive gamma ray sources vs. other types now completely overlap. Thus, gamma rays are now usually distinguished by their origin: X-rays are emitted by definition by electrons outside the nucleus, while gamma rays are emitted by the nucleus. Exceptions to this convention occur in astronomy, where gamma decay is seen in the afterglow of certain supernovas, but radiation from high energy processes known to involve other radiation sources than radioactive decay is still classed as gamma radiation.

X-ray emission

Blackbody radiation:

http://astronomy.swin.edu.au/cosmos/b/blackbody+radiation

All objects with a temperature above absolute zero (0 K, -273.15 oC) emit energy in the form of electromagnetic radiation.

A blackbody is a theoretical or model body which absorbs all radiation falling on it, reflecting or transmitting none. It is a hypothetical object which is a “perfect” absorber and a “perfect” emitter of radiation over all wavelengths.

The spectral distribution of the thermal energy radiated by a blackbody (i.e. the pattern of the intensity of the radiation over a range of wavelengths or frequencies) depends only on its temperature.

image

At room temperature the peak wavelength of blackbody radiation is in the infra-red region of the spectrum. For an X-ray peak the temperature is several million oC.

Bremsstrahlung:

https://en.wikipedia.org/wiki/Bremsstrahlung

Bremsstrahlung (German pronunciation from bremsen “to brake” and Strahlung “radiation”; i.e., “braking radiation” or “deceleration radiation”), is electromagnetic radiation produced by the deceleration (change in speed and/or direction) of a charged particle when deflected by another charged particle, typically an electron by an atomic nucleus. The moving particle loses kinetic energy, which is converted into radiation (i.e., a photon), thus satisfying the law of conservation of energy. The term is also used to refer to the process of producing the radiation. Bremsstrahlung has a continuous spectrum, which becomes more intense and whose peak intensity shifts toward higher frequencies as the change of the energy of the decelerated particles increases.

Broadly speaking, bremsstrahlung or braking radiation is any radiation produced due to the deceleration (negative acceleration) of a charged particle, which includes synchrotron radiation (i.e. photon emission by a relativistic particle), cyclotron radiation (i.e. photon emission by a non-relativistic particle), and the emission of electrons and positrons during beta decay. However, the term is frequently used in the more narrow sense of radiation from electrons (from whatever source) slowing in matter.

In an X-ray tube, electrons are accelerated in a vacuum by an electric field towards a piece of metal called the “target”. X-rays are emitted as the electrons slow down (decelerate) in the metal. The output spectrum consists of a continuous spectrum of X-rays, with additional sharp peaks at certain energies. The continuous spectrum is due to bremsstrahlung, while the sharp peaks are characteristic X-rays associated with the atoms in the target. For this reason, bremsstrahlung in this context is also called continuous X-rays.

image

https://www.slideshare.net/ShahidYounas1/l-1-ct-physics

image

Cyclotron/synchrotron:

A charged particle moving in a magnetic field radiates energy. At non-relativistic velocities, this results in cyclotron radiation while at relativistic velocities it results in synchrotron radiation. This latter is a very important source of radiation in astrophysics.

For the production of X-rays the particles that are used are electrons.

https://en.wikipedia.org/wiki/Cyclotron

A cyclotron is a type of particle accelerator invented by Ernest O. Lawrence in 1929-1930 at the University of California, Berkeley, and patented in 1932. A cyclotron accelerates charged particles outwards from the centre along a spiral path. The particles are held to a spiral trajectory by a static magnetic field and accelerated by a rapidly varying (radio frequency) electric field.

https://en.wikipedia.org/wiki/Ernest_Lawrence

image

Ernest Orlando Lawrence (August 8, 1901 – August 27, 1958) was a pioneering American nuclear scientist and winner of the Nobel Prize in Physics in 1939 for his invention of the cyclotron. He is known for his work on uranium-isotope separation for the Manhattan Project, as well as for founding the Lawrence Berkeley National Laboratory and the Lawrence Livermore National Laboratory.

image

Diagram showing how a cyclotron works. The magnet’s pole pieces are shown smaller than in reality; they must actually be as wide as the dees to create a uniform field.

A cyclotron accelerates a charged particle beam using a high frequency alternating voltage which is applied between two hollow “D”-shaped sheet metal electrodes called “dees” inside a vacuum chamber. The dees are placed face to face with a narrow gap between them, creating a cylindrical space within them for the particles to move. The particles are injected into the centre of this space. The dees are located between the poles of a large electromagnet which applies a static magnetic field B perpendicular to the electrode plane. The magnetic field causes the particles’ path to bend in a circle due to the Lorentz force perpendicular to their direction of motion.

https://en.wikipedia.org/wiki/Lorentz_force

A radio frequency (RF) alternating voltage of several thousand volts is applied between the dees. The voltage creates an oscillating electric field in the gap between the dees that accelerates the particles. The frequency is set so that the particles make one circuit during a single cycle of the voltage. To achieve this, the frequency must match the particle’s cyclotron resonance frequency

F = qB/2πm where B is the magnetic field strength, q is the electric charge of the particle and m is the relativistic mass of the charged particle. Each time after the particles pass to the other dee electrode the polarity of the RF voltage reverses. Therefore, each time the particles cross the gap from one dee electrode to the other, the electric field is in the correct direction to accelerate them. The particles’ increasing speed due to these pushes causes them to move in a larger radius circle with each rotation, so the particles move in a spiral path outward from the centre to the rim of the dees. When they reach the rim a small voltage on a metal plate deflects the beam so it exits the dees through a small gap between them, and hits a target located at the exit point at the rim of the chamber, or leaves the cyclotron through an evacuated beam tube to hit a remote target.

https://en.wikipedia.org/wiki/Synchrotron

A synchrotron is a particular type of cyclic particle accelerator, descended from the cyclotron, in which the accelerating particle beam travels around a fixed closed-loop path. The magnetic field which bends the particle beam into its closed path increases with time during the accelerating process, being synchronized to the increasing kinetic energy of the particles.

The largest synchrotron-type accelerator, also the largest particle accelerator in the world, is the 27-kilometre-circumference Large Hadron Collider (LHC) near Geneva, Switzerland, built in 2008 by the European Organization for Nuclear Research (CERN). It can accelerate beams of protons to an energy of 6.5 teraelectronvolts (TeV).

The synchrotron principle was invented by Vladimir Veksler in 1944. Edwin McMillan constructed the first electron synchrotron in 1945, arriving at the idea independently, having missed Veksler’s publication (which was only available in a Soviet journal, although in English). The first proton synchrotron was designed by Sir Marcus Oliphant and built in 1952.

https://en.wikipedia.org/wiki/Vladimir_Veksler (below left)

image

https://en.wikipedia.org/wiki/Edwin_McMillan (above right)

https://en.wikipedia.org/wiki/Mark_Oliphant

image

The synchrotron evolved from the cyclotron, the first cyclic particle accelerator. While a classical cyclotron uses both a constant guiding magnetic field and a constant-frequency electromagnetic field (and is working in classical approximation), its successor, the isochronous cyclotron, works by local variations of the guiding magnetic field, adapting the increasing relativistic mass of particles during acceleration.

In a synchrotron, this adaptation is done by variation of the magnetic field strength in time, rather than in space. For particles that are not close to the speed of light, the frequency of the applied electromagnetic field may also change to follow their non-constant circulation time. By increasing these parameters accordingly as the particles gain energy, their circulation path can be held constant as they are accelerated. This allows the vacuum chamber for the particles to be a large thin torus, rather than a disk as in previous, compact accelerator designs. Also, the thin profile of the vacuum chamber allowed for a more efficient use of magnetic fields than in a cyclotron, enabling the cost-effective construction of larger synchrotrons.

The maximum energy that a cyclic accelerator can impart is typically limited by the maximum strength of the magnetic fields and the minimum radius (maximum curvature) of the particle path.

https://home.cern/science/accelerators/large-hadron-collider

https://en.wikipedia.org/wiki/Large_Hadron_Collider

ATLAS A Toroidal LHC Apparatus

CMS Compact Muon Solenoid

LHCb LHC-beauty

ALICE A Large Ion Collider Experiment

image

Specific energies

Characteristic x-rays are emitted from heavy elements when their electrons make transitions between the lower atomic energy levels. The characteristic x-ray emission which is shown as two sharp peaks in the illustration at left occur when vacancies are produced in the n = 1 or K-shell of the atom and electrons drop down from above to fill the gap. The x-rays produced by transitions from the n = 2 to n = 1 levels are called K-alpha x-rays, and those for the n = 3→1 transition are called K-beta x-rays.

image

Transitions to the n = 2 or L-shell are designated as L x-rays (n = 3→2 is L-alpha, n = 4→2 is L-beta, etc. ). The continuous distribution of x-rays which forms the base for the two sharp peaks at left is called “bremsstrahlung” radiation.

http://hyperphysics.phy-astr.gsu.edu/hbase/quantum/xrayc.html#c1

X-ray interactions

Photoelectric absorption:

Photoelectric effect or photoelectric absorption (PEA) is a form of interaction of X-ray photons with the matter. A low energy photon interacts with the electron in the atom and removes it from its shell.

The probability of this effect is maximum when

(1) the energy of the incident photon is equal to or just greater than the binding energy of the electron in its shell (absorption or k edge) and

(2) the electron is tightly bound (as in K shell)

The electron that is removed is then called a photoelectron. The incident photon is completely absorbed in the process. Hence it forms one of the reasons for attenuation of X-ray beam as it passes through the matter.

https://radiopaedia.org/articles/photoelectric-effect?lang=gb

Compton scattering

https://en.wikipedia.org/wiki/Compton_scattering

Compton scattering, discovered by Arthur Holly Compton, is the scattering of a photon by a charged particle, usually an electron. It results in a decrease in energy (increase in wavelength) of the photon (which may be an X-ray photon), called the Compton effect. Part of the energy of the photon is transferred to the recoiling electron. Inverse Compton scattering occurs when a charged particle transfers part of its energy to a photon.

https://en.wikipedia.org/wiki/Arthur_Compton

image

Pair-production

Pair production is the creation of a subatomic particle and its antiparticle from a neutral boson. Examples include creating an electron and a positron, a muon and an antimuon, or a proton and an antiproton. Pair production often refers specifically to a photon creating an electron-positron pair near a nucleus. For pair production to occur, the incoming energy of the interaction must be above a threshold of at least the total rest mass energy of the two particles, and the situation must conserve both energy and momentum. However, all other conserved quantum numbers (angular momentum, electric charge, lepton number) of the produced particles must sum to zero – thus the created particles shall have opposite values of each other. For instance, if one particle has electric charge of +1 the other must have electric charge of −1, or if one particle has strangeness of +1 then another one must have strangeness of −1.

The probability of pair production in photon-matter interactions increases with photon energy and also increases approximately as the square of atomic number of the nearby atom.

The rest mass energy of an electron is 0.511 MeV, so the threshold for electron-positron pair production is 1.02 MeV. For x-ray energies well above 1 MeV, this pair production becomes one of the most important kinds of interactions with matter.

image

X-ray detectors

Crystal scintillators

https://en.wikipedia.org/wiki/Scintillator

image

Scintillation crystal surrounded by various scintillation detector assemblies

A scintillator is a material that exhibits scintillation, the property of luminescence, when excited by ionizing radiation. Luminescent materials, when struck by an incoming particle, absorb its energy and scintillate (i.e. re-emit the absorbed energy in the form of light).[a] Sometimes, the excited state is metastable, so the relaxation back down from the excited state to lower states is delayed (necessitating anywhere from a few nanoseconds to hours depending on the material): the process then corresponds to either one of two phenomena, depending on the type of transition and hence the wavelength of the emitted optical photon: delayed fluorescence or phosphorescence.

image

The scintillator consists of a block of ionic crystal. When an X-ray is incident on the apparatus a flash of visible light is produced.

Proportional counter

http://physicsopenlab.org/2017/07/23/x-ray-proportional-counter-2/

X Ray Proportional Counter

image

The proportional counter is a type of gaseous ionization detector device used to measure particles of ionizing radiation. The key feature is its ability to measure the energy of incident radiation, by producing a detector output that is proportional to the radiation energy; hence the detector’s name. It is widely used where energy levels of incident radiation must be known, such as in the discrimination between alpha and beta particles, or accurate measurement of X-ray radiation dose.

A proportional counter uses a combination of the mechanisms of a Geiger–Müller tube and an ionization chamber, and operates in an intermediate voltage region between these.

X-rays are counted and the signal is proportional to the energy of the X-ray absorbed.

CCDs

http://cxc.cfa.harvard.edu/xrayschool/talks/ccd_talk.pdf

These work in a similar way to a mobile phone camera. They are solid-state devices using the photoelectric effect.

CCDs (Charge coupled device) in a nutshell

An array of linked (“coupled”) capacitors

– Photons interact in a semiconductor substrate (usually silicon) and are converted into electron) hole pairs

– Applied electric field used to collect charge carriers (usually electrons) and store them in pixels

– Pixels are “coupled” and can transfer their stored charge to neighbouring pixels

– Stored charge is transferred to a readout amplifier

– At readout amplifier, charge is sensed and digitized

image

Design of the CCD detectors. (a) Lens-coupled detector. The X-ray beam enters through the carbon window and creates light in the phosphor. The image on the phosphor is viewed through a tandem lens after being reflected by a mirror. The first half of the tandem lens is housed within the X-ray detector (BM5) and the second half attached to the CCD camera with a PENTAX 67 mount. The camera and BM5 are coupled with a Philips mount. (b) Fibre-coupled detector. The phosphor is directly deposited on the tapered optical fibre. The CCD is also directly bonded to the fibre.

http://journals.iucr.org/s/issues/2011/02/00/gf5031/gf5031fig1.html

image

Schematic drawing of silicon-CCD

Astronomical observation by X-ray may be best known for X-ray observation satellite “Asuka”, in which X-ray CCD is cooled down to -70°C with multistage TEC.

X-ray imaging

This is not easy as X-rays are difficult to focus.

Rotating modulating collimators (RMCs) use a heavy metal grid which limits detection.

http://www2011.mpe.mpg.de/gamma/science/lines/workshops/seeon03/smith_rmc_1.pdf

A basic RMC consists of a detector (which need not have any spatial resolution) located beneath a bigrid collimator, i.e. a pair of widely separated grids, each of which has a large number of parallel, periodic slits and X-ray opaque slats.

At any instant in time, the transmission of the grid pair viewing a given X-ray source is a periodic function of the source direction in the plane orthogonal to the slits. If the whole system is rotated about the collimator axis, the count rate detected from a point source will vary rapidly with time.

https://en.wikipedia.org/wiki/Coded_aperture

Coded aperture masks act like simple pinhole camera. They cast shadows which can be reconstructed into an image.

image

Coded apertures or coded-aperture masks are grids, gratings, or other patterns of materials opaque to various wavelengths of electromagnetic radiation. The wavelengths are usually high-energy radiation such as X-rays. By blocking radiation in a known pattern, a coded “shadow” is cast upon a plane. The properties of the original radiation sources can then be mathematically reconstructed from this shadow. Coded apertures are used in X- ray imaging systems, because these high-energy rays cannot be focused with lenses or mirrors that work for visible light.

image

Simplified principle of operation of a HURA hexagonal coded aperture mask used in the SPI instrument of the INTEGRAL space telescope

https://en.wikipedia.org/wiki/Wolter_telescope

A Wolter telescope is a telescope for X-rays that only uses grazing incidence optics – mirrors that reflect X-rays at very shallow angles. It can focus X-rays

image

Wolter telescope Type I

The telescope consists of nested shells coated with gold. X-rays are reflected off the inner shell. Using several shells increase the cross-sectional area focus X-rays

History of NASA and ESA X-ray astronomy

https://heasarc.gsfc.nasa.gov/docs/heasarc/headates/1960.html

19 Jun 1962: Launch at 06:59 UT of the third ASE-MIT experiment on a USAF Aerobee 150 rocket launched from White Sands, New Mexico. (The group’s first two rocket flights with X-ray detectors onboard, a Nike Asp rocket flown from Eglin Air Force Base in Florida on 27 Jun 1960 and an Aerobee 150 launched from White Sands, New Mexico on 25 Oct 1961, failed to return any useful data). This experiment was the first one to detect cosmic X-rays: it detected both the diffuse X-ray `background’ as well as the first discrete or point-like X-ray sources (the primary is now referred to as Sco X-1 and, in fact, is the brightest persistent X-ray source, while a secondary source in the Cygnus direction was probably the source Cyg X-2: both of these sources are low-mass X-ray binary (LMXB) systems containing accreting neutron star components). See Giacconi et al. Phys. Rev. Lett., 9, 439 (1962) for more details of this observation. Only gave a few minutes of observing “light buckets”

https://heasarc.gsfc.nasa.gov/docs/heasarc/headates/1965.html

https://heasarc.gsfc.nasa.gov/docs/heasarc/missions/oso3.html

The Third Orbiting Solar Observatory, OSO-3, was launched on 8 March 1967, into a nearly circular orbit of mean altitude 550 km, inclined at 33 degrees with respect to the equatorial plane. The satellite had two principle components, a continuously spinning wheel in which the hard X-ray experiment is mounted with a radial view, and a sail component which was served to acquire the sun during the orbit day.

The UCSD X-ray telescope consisted of a single thin NaI(Tl) scintillation crystal plus phototube assembly enclosed in a howitzer-shaped CsI(Tl) anti-coincidence shield. The energy resolution was 45 percent at 30 keV. The instrument operated from 7.7 to 210 keV with 6 channels. The total effective area was 0.0010 sq-m, but had a 23 deg FWHM field of view. It scanned the entire sky over the course of the mission.

https://heasarc.gsfc.nasa.gov/docs/heasarc/missions/oso5.html

OSO 5 was launched on 22 January 1969, and lasted until July 1975. It was the 5th satellite put into orbit as part of the Orbiting Solar Observatory program. This program was intended to launch a series of nearly identical satellites to cover an entire 11-year solar cycle. The circular orbit had an altitude of 555 km and an inclination of 33 degrees. The spin rate of the satellite was stabilised at 1.8 s.

The wheel of the satellite carried, amongst other experiments, a CsI crystal scintillator. The central crystal was 0.635 cm thick, had a sensitive area of 70 sq-cm, and was viewed from behind by a pair of photomultiplier tubes. The shield crystal had a wall thickness of 4.4 cm and was viewed by 4 photomultipliers. The field of view was ~ 40 degrees. The energy range covered was 14-254 keV. There were 9 energy channels: the first covering 14-28 keV and the others equally spaced from 28-254 keV. In-flight calibration was done with an 241 Am source. The instrument was designed primarily for observation of solar X-ray bursts. A secondary interest was the measurement of the intensity, spectrum, and spatial distribution of the diffuse cosmic background.

The data produced a spectrum of the diffuse background over the energy range 14-200 keV.

https://heasarc.gsfc.nasa.gov/docs/heasarc/headates/1970.html

12 Dec 1970: Launch of Uhuru (SAS 1), the first earth-orbiting mission entirely dedicated to X-ray astronomy. The satellite’s name means “Freedom” in Swahili.

https://heasarc.gsfc.nasa.gov/docs/uhuru/uhuru.html

Uhuru, also known as the Small Astronomical Satellite 1 (SAS-1) was the first earth-orbiting mission dedicated entirely to celestial X-ray astronomy. It was launched on 12 December 1970 from the San Marco platform in Kenya. December 12 was the seventh anniversary of the Kenyan independence and in recognition of the hospitality of the Kenyan people, the operating satellite was named Uhuru, which is the Swahili word for freedom. The mission operated over two years and ended in March 1973.

15 Oct 1974: Launch of the Ariel V X-ray observatory. Ariel V operated for 5.5 years and detected 250 X-ray sources, which are listed in two papers, McHardy, I.M., et al. (1981, MNRAS, 197, 893) and Warwick, R.S., et al. (1981, MNRAS, 197, 865), comprising the 3rd Ariel-V Sky Survey Instrument Catalog.

https://heasarc.gsfc.nasa.gov/docs/ariel5/ariel5.html

Ariel V was launched into a low inclination (2.8 degrees) orbit from the San Marco launch platform in the Indian Ocean on 15 October 1974. The mission was a British-USA collaboration. The Science Research Council managed the project for the UK and GSFC/NASA for the USA. Ariel V was dedicated to monitoring the X-ray sky with a comprehensive payload. The mission ended in the spring of 1980.

  • Experiments aligned with the spin axis.
    • Rotation Modulation Collimator (RMC) (0.3-30 keV).
    • High resolution proportional counter spectrometer.
    • Polarimeter/spectrometer.
    • Scintillation telescope.

Science Highlights:

Long-term monitoring of numerous X-ray sources.

Discovery of several long period (minutes) X-ray pulsars.

Discovery of several bright X-ray transients probably containing a Black Hole (e.g. A0620-00=Nova Mon 1975).

Establishing that Seyfert I galaxies (AGN) are a class of X-ray emitters.

Discovery of iron line emission in extragalactic sources

https://heasarc.gsfc.nasa.gov/docs/heasarc/headates/1975.html

12 Aug 1977: Launch of the First High Energy Astrophysics Observatory (HEAO 1).

https://heasarc.gsfc.nasa.gov/docs/heao1/heao1.html

Beginning in 1977, NASA launched a series of very large scientific payloads called High Energy Astronomy Observatories (HEAO). The first of these missions, HEAO-1 surveyed the X-ray sky almost three times over the 0.2 keV – 10 MeV energy band, provided nearly constant monitoring of X-ray sources near the ecliptic poles. More detailed studies of a number of objects were made through pointed observations lasting typically 3-6 hours.

13 Nov 1978: Launch of the Second High Energy Astrophysics Observatory (HEAO 2), renamed to the Einstein Observatory once it successfully achieved orbit. Einstein went on to become one of the most scientifically productive X-ray observatories ever.

https://heasarc.gsfc.nasa.gov/docs/einstein/heao2.html

The second of NASA’s three High Energy Astrophysical Observatories, HEAO-2, renamed Einstein after launch, was the first fully imaging X-ray telescope put into space. The few arcsecond angular resolution, the field-of-view of tens of arcminutes, and a sensitivity several 100 times greater than any mission before it provided, for the first time, the capability to image extended objects, diffuse emission, and to detect faint sources. It was also the first X-ray NASA mission to have a Guest Observer program.

Overall, it was a key mission in X-ray astronomy and its scientific outcome completely changed the view of the X-ray sky.

https://heasarc.gsfc.nasa.gov/docs/heasarc/headates/1980.html

May 26, 1983: Launch of the European X-ray Observatory Satellite (EXOSAT).

https://heasarc.gsfc.nasa.gov/docs/exosat/exosat.html

The European Space Agency’s X-ray Observatory, EXOSAT, was operational from May 1983 to April 1986. During that time, EXOSAT made 1780 observations of a wide variety of objects, including active galactic nuclei, stellar coronae, cataclysmic variables, white dwarfs, X-ray binaries, clusters of galaxies, and supernova remnants.

  • 2 Wolter Type I grazing incidence Low Energy (LE; 0.05-2 keV) Imaging Telescopes, FOV ~ 2°, peak effective area 10 cm2each with
    • Channel Multiplier Array (CMA; 0.05-2.0keV)
      eff. area 0.4 – 10 cm2, FOV ~2°, ~18 arcsecond spatial resolution
    • Position Sensitive Detector (PSD)
    • Transmission Gratings (TGS)
      500 lines mm-1(LE2), 1000 lines mm-1(LE1). Used in conjunction with the CMA detectors.
  • A Medium Energy (ME) Proportional Counter
    1-50 keV, FOV 45 arcmin, 1600 cm2
  • A Gas Scintillation (GS) Proportional Counter
    2-20 keV, 100 cm2

Science Highlights:

Discovery of the Quasi Period Oscillations in LMXRB and X-ray Pulsars

Comprehensive study of AGN variability

Observing LMXRB and CV over many orbital periods

Measuring iron line in galactic and extra galactic sources

Obtaining low-energy high-resolution spectra

https://heasarc.gsfc.nasa.gov/docs/heasarc/headates/1990.html

Jun 1, 1990: Launch of Röntgen Satellit (ROSAT), an X-ray and EUV astronomy mission due to an international collaboration between Germany, the UK, and the US. This mission had two phases, an All-Sky Survey phase from the end of July 1990 until February 1991 in which the spinning satellite mapped the entire sky in both X-rays and the EUV (and detected more than 100,000 discrete X-ray sources), and a pointed observation phase in which the satellite could make deep observations of selected positions in the sky.

https://heasarc.gsfc.nasa.gov/docs/rosat/rosat.html

The Roentgen Satellite, ROSAT, a Germany/US/UK collaboration, was launched on June 1, 1990 and operated for almost 9 years. The first 6 months of the mission were dedicated to the all sky-survey (using the Position Sensitive Proportional Counter detector), followed by the pointed phase. The survey obtained by ROSAT was the first X-ray and XUV all-sky survey using an imaging telescope with an X-ray sensitivity of about a factor of 1000 better than that of UHURU. During the pointed phase ROSAT made deep observations of a wide variety of objects.

  • An X-ray telescope used in conjunction with one of the following instruments (0.1-2.5 keV)
    • Position Sensitive Proportional Counter
      (PSPC) 2 units : detector B, used for the pointed phase, & detector C ,used for the survey
      FOV 2 ° diameter eff area 240 cm2 at 1 keV
      energy resolution of deltaE/E=0.43 (E/0.93)-0.5
    • High Resolution Imager (HRI)
      FOV 38 ‘ square ; eff area 80 cm2 at 1 keV
      ~ 2 arcsec spatial resolution (FWHM)
  • A Wide Field Camera with its own mirror system
    (62-206 eV) FOV 5 ° diameter

https://heasarc.gsfc.nasa.gov/docs/heasarc/headates/1995.html

Dec 30 1995: Launch of the Rossi X-ray Timing Explorer (RXTE) (still operational).

https://heasarc.gsfc.nasa.gov/docs/xte/XTE.html

The Rossi X-ray Timing Explorer (RXTE) was launched on December 30, 1995 from NASA’s Kennedy Space Center. The mission was managed and controlled by NASA’s Goddard Space Flight Center (GSFC) in Greenbelt, Maryland. RXTE features unprecedented time resolution in combination with moderate spectral resolution to explore the variability of X-ray sources. Time scales from microseconds to months are covered in an instantaneous spectral range from 2 to 250 keV. Originally designed for a required lifetime of two years with a goal of five, RXTE spectacularly passed that goal and completed 16 years of observations before being decommissioned on January 5, 2012.

Japanese X-ray astronomy

http://global.jaxa.jp/article/special/astro_h/history_e.html

https://heasarc.gsfc.nasa.gov/docs/heasarc/headates/1975.html

21 Feb 1979: Launch of the first Japanese X-ray astronomy satellite Hakucho, known as CORSA-B prior to launch.

https://heasarc.gsfc.nasa.gov/docs/heasarc/headates/1980.html

Feb 20 1983: Launch of the second Japanese X-ray astronomy satellite Tenma, known as Astro B prior to launch.

https://heasarc.gsfc.nasa.gov/docs/heasarc/headates/1985.html

Feb 5 1987: Launch of the third Japanese X-ray astronomy satellite Ginga, known as Astro C prior to launch.

https://heasarc.gsfc.nasa.gov/docs/heasarc/headates/1990.html

Feb 20 1993: Launch of the fourth Japanese X-ray astronomy satellite, Advanced Satellite for Cosmology and Astrophysics (ASCA), known as Astro-D prior to its launch.

https://heasarc.gsfc.nasa.gov/docs/heasarc/headates/heahistory.html#05

2005 Jul 9: Successful launch of the Suzaku (formerly called ASTRO-E2) X-Ray Observatory, a replacement of the ASTRO-E mission which suffered a launch failure on February 10 2000. Suzaku is Japan’s fifth X-ray astronomy mission, and was developed by Japan Aerospace Exploration Agency’s (JAXA) Institute of Space and Astronautical Science (ISAS) in collaboration with U.S. (NASA/GSFC, MIT) and other Japanese institutions. Suzaku covers the high-energy range from 0.4 – 700 keV with three instruments, an X-ray micro-calorimeter (X-ray Spectrometer; XRS, unfortunately inoperational after 1 month), four X-ray CCDs (X-ray Imaging Spectrometer; XIS), and the Hard X-ray Detector (HXD). Suzaku uses the Universe as a laboratory for unraveling complex, high-energy processes and the behaviour of matter under extreme conditions. Scientific issues that will be addressed during its mission include the fate of matter as it spirals into black holes, the nature of supermassive black holes found at the center of quasars, the 100 million degree gas that is flowing into giant clusters of galaxies, and the nature of supernova explosions that create the heavier elements, which ultimately form planets. Suzaku’s legacy archive of data is available at the HEASARC.

ASTRO F looked at infra-red and not X-rays and Astro G was cancelled.

https://heasarc.gsfc.nasa.gov/docs/heasarc/headates/heahistory.html#15

2016 Feb 17, 03:45 am EST: Successful launch of the Astro-H mission, now renamed Hitomi, the Japanese word for eye or more specifically the pupil of the eye. Hitomi was a next-generation X-ray astronomy satellite of the Japanese space agency (JAXA), with significant NASA contributions. It was dedicated to the exploration of non-thermal phenomena in the Universe through its hard X-ray imaging, high-resolution spectroscopy, and broad-band coverage. The objectives were the non-thermal X-ray components in cluster of galaxies and SNR, hidden AGN and their contribution to the cosmic X-ray background. Such non-thermal energy comprises a considerable fraction of the total energy in the Universe. NASA provided a high spectral resolution Soft X-ray Spectrometer (SXS) for Hitomi, which consists of an X-Ray Telescope (XRT) and an X-Ray Calorimeter Spectrometer (XCS). The SXS was to probe matter in extreme environments, investigate the nature of dark matter on large scales in the universe, and explore how galaxies and clusters of galaxies form and evolve. The other instruments on Hitomi were provided by the Japanese part of the collaboration, and consist of a focusing Hard X-ray Imager (HXI), a Soft X-ray Imager (SXI) and a Soft Gamma-ray Detector (SGD).

Highlights

https://heasarc.gsfc.nasa.gov/docs/heasarc/headates/1995.html

Jul 23 1999: Launch of the Chandra X-Ray Observatory (CXO; formerly known as the Advanced X-ray Astrophysics Facility or AXAF), the last of NASA’s `Great Observatories’. Chandra has an unprecedented ability to make high spatial-resolution X-ray observations, and additional capabilities using gratings to make high spectral-resolution observations, of celestial X-ray sources (still operational).

Dec 10 1999: Launch of the X-Ray Multi-Mirror Mission (XMM), renamed after launch to XMM-Newton . XMM-Newton is an ESA facility-class X-ray observatory, the second cornerstone of ESA’s Horizon 2000 program, and has an anticipated lifetime of ten years. XMM-Newton works in the energy range from 0.1 to 15 keV, and its large effective area of 4650 square cm will enable it to observe cosmic X-ray sources down to a limiting flux of order 1016 erg/sec/cm2. To broaden the scope of XMM-Newton’s investigations, it also carries an Optical Monitor that can simultaneously study the optical/UV properties of the observed sources (still operational).

Chandra and XMM Newton are complementary telescopes

Types of X-ray sources

https://en.wikipedia.org/wiki/Astrophysical_X-ray_source

https://en.wikipedia.org/wiki/Supernova_remnant

There are two common routes to a supernova: either a massive star may run out of fuel, ceasing to generate fusion energy in its core, and collapsing inward under the force of its own gravity to form a neutron star or a black hole; or a white dwarf star may accrete material from a companion star until it reaches a critical mass and undergoes a thermonuclear explosion.

If the star was massive then the outer layers can become energised by the magnetic field of a neutron star

https://en.wikipedia.org/wiki/Astrophysical_X-ray_source#Supernova_remnants_(SNR)

A Type Ia supernova is an explosion of a white dwarf in orbit around either another white dwarf or a red giant star. The dense white dwarf can accumulate gas donated from the companion. When the dwarf reaches the critical mass of 1.4 M, a thermonuclear explosion ensues. As each Type Ia shines with a known luminosity, Type Ia are called “standard candles” and are used by astronomers to measure distances in the universe.

SN 2005ke is the first Type Ia supernova detected in X-ray wavelengths

image

Supernova 2005ke, which was detected in 2005, is a Type Ia supernova, an important “standard candle” explosion used by astronomers to measure distances in the universe. Shown here is the explosion in optical, ultraviolet and X-ray wavelengths. This is the first X-ray image of a Type Ia, and it has provided observational evidence that Type Ia are the explosion of a white dwarf orbiting a red giant star.

image

X-ray image of the SN 1572 Type Ia remnant as seen by Chandra Space Telescope

https://en.wikipedia.org/wiki/Quasar

https://en.wikipedia.org/wiki/Astrophysical_X-ray_source#Quasars

A quasi-stellar radio source (quasar) is a very energetic and distant galaxy with an active galactic nucleus (AGN). QSO 0836+7107 is a Quasi-Stellar Object (QSO) that emits baffling amounts of radio energy. This radio emission is caused by electrons spiralling (thus accelerating) along magnetic fields producing cyclotron or synchrotron radiation. These electrons can also interact with visible light emitted by the disk around the AGN or the black hole at its centre. These photons accelerate the electrons, which then emit X- and gamma-radiation via Compton and inverse Compton scattering.

https://en.wikipedia.org/wiki/X-ray_pulsar

X-ray pulsars or accretion-powered pulsars are a class of astronomical objects that are X-ray sources displaying strict periodic variations in X-ray intensity. The X-ray periods range from as little as a fraction of a second to as much as several minutes.

The youngest pulsars spin very quickly. We don’t quite understand why the beam of X-rays pass through space.

https://en.wikipedia.org/wiki/X-ray_binary

X-ray binaries are a class of binary stars that are luminous in X-rays. The X-rays are produced by matter falling from one component, called the donor (usually a relatively normal star which turns into a white dwarf), to the other component, called the accretor, which is very compact: a neutron star or black hole. The infalling matter releases gravitational potential energy, up to several tenths of its rest mass, as X-rays. (Hydrogen fusion releases only about 0.7 percent of rest mass.) The lifetime and the mass-transfer rate in an X-ray binary depends on the evolutionary status of the donor star, the mass ratio between the stellar components, and their orbital separation.

image

Artist’s impression of an X-ray Binary

The strong gravitational field of the accretor pulls stuff off the donor. The high temperatures that result produce the X-rays.

https://imagine.gsfc.nasa.gov/science/objects/active_galaxies2.html

Dust and gas at the centre of an active galaxy can obscure our optical view of its nucleus. However, if light from other wavelengths can pass through that dust and gas, giving us a glimpse of what’s happening at in the bright centres of these galaxies.

image

This composite image of the central region of the spiral galaxy NGC 4151 in X-ray, optical, and radio light. In the centre, X-rays (blue) from the Chandra X-ray Observatory are combined with optical data (yellow) showing positively charged hydrogen (“H II”) from observations with the 1-meter Jacobus Kapteyn Telescope on La Palma. The red shows neutral hydrogen detected by radio observations with the NSF’s Very Large Array. The yellow blobs around the red ellipse are regions where star formation has recently occurred. (Credit: X-ray: NASA/CXC/CfA/J.Wang et al.; Optical: Isaac Newton Group of Telescopes, La Palma/Jacobus Kapteyn Telescope, Radio: NSF/NRAO/VLA)

X-ray emission from active galactic nuclei have given astronomers many clues about what is going on in these galaxies. They can include quasars, and Cepheid variables.

Since X-rays originate from very close to the central black hole, X-ray studies give us a unique view of the processes at work in the very center of the action. In some cases, higher energy X-rays have the ability to punch through gas and dust, so this is one part of the electromagnetic spectrum that lets us see into highly obscured AGN.

Like any other massive object, black holes can pull in matter that ventures too close. If there is enough infalling matter, it can form an accretion disk. This disk of matter surrounds the black hole and heats up, emitting X-rays. As matter makes its final plunge into the black hole, it is accelerated to high velocity, causing X-ray emission. Some of the infalling matter can also be funnelled away from the black hole in powerful jets along the rotation axis of the disk. These jets are observed across the entire electromagnetic spectrum.

Super massive black holes at the centre of active galaxies accrete material which swirls. The frictional forces causes X-rays to be produced.

Exosat Galactic plane scan

http://sci.esa.int/exosat/40042-galactic-plane/

image

A colour representation of the 2-6 keV X-ray emission from the galactic plane. The map constructed from a series of scanning observations with the medium-energy detector, covers a region from approximately +50° to -50° of galactic longitude. X-ray emission from numerous point sources is shown together with a narrow ridge (in green) of emission extending along the galactic plane on either side of galactic centre.

https://academic.oup.com/mnras/article/232/3/551/1048585

https://watermark.silverchair.com/mnras232-0551.pdf?token=AQECAHi208BE49Ooan9kkhW_Ercy7Dm3ZL_9Cf3qfKAc485ysgAAAkswggJHBgkqhkiG9w0BBwagggI4MIICNAIBADCCAi0GCSqGSIb3DQEHATAeBglghkgBZQMEAS4wEQQME0iG5wmJevIE2jDAAgEQgIIB_um5PgiHhpczPPVJJZi97ma_EKjzRpS4L0KeRFgPZVXsqexC2_LQuQYr4w8qV0-tf994V7Vrayx4bsLkBQV5N52ERHYWWLpSxBsUgFbgVtK4u75qqZ_LLJXmdeyY4skj3mtOAb1Hikog27a6NfR9yZKpy-TBaR52CwLjC671lllXcYGjVr7u89xo2-dAcJekv9aMZGaB81AvJLFchT9RPSXb8SCo2ibRbpDkQgqyANBDdH73mz-zFTcIK6GbtKngVLe3o-8DX1Xnwye773XlhtC2JhAB6KzGvq3krXafXEHu2PcnM9UffzextfX0vFS4lBgYRc1kjTJq3W6HidugauLsR_X5et4RDoXJHU0VmQeoUldL_9Bpmh_kvU1SUl6ZMfTPsfOyY6M2zS3bulfbaVAo2WqHAqI2tN_YW4RCtUPdUUWY04Z4oWfYJ15thBZ9KQg_MMJyf4jiEAxkHOvLvwBZg78j2HsF5iLIdFirsqLdcv-GvQ5SpD2pRl4ytvBvB1qud7BuSMzclns5bYGACWZ6F-PHezau4I6up2dFw9QluOtsaoKVB5Lcon9yX851LlVFuSPBVcwbaE-QOlbaWCgFBbK9NsIEzC3WUJcC_kbxiB4ESRFw0Gqb1-aRXXwkng40c4otaQMoAqOKJrePGbEL2OlzQdV0xV8L6AGEIQ

The distribution of 2–6 keV X-ray emission in the galactic plane in the first and fourth galactic quadrants has been measured in a series of scanning observations with the medium-energy proportional counters on EXOSAT. The results are presented as contour maps and in the form of a catalogue of 70 discrete sources. 37 have been identified as X-ray binary systems but 22 have yet to be identified.

16 scans of the galactic plane using a non-imaging proportional counter are used to build up a map of a lens shaped region.

https://en.wikipedia.org/wiki/EXOSAT

The galactic centre in X-rays

image

https://en.wikipedia.org/wiki/Galactic_Center

The Galactic Center, or Galactic Centre, is the rotational center of the Milky Way. It is 8,122 ± 31 parsecs (26,490 ± 100 ly) away from Earth in the direction of the constellations Sagittarius, Ophiuchus, and Scorpius where the Milky Way appears brightest. It coincides with the compact radio source Sagittarius A*.

There are around 10 million stars within one parsec of the Galactic Center, dominated by red giants, with a significant population of massive supergiants and Wolf-Rayet stars from a star formation event around one million years ago, and one supermassive black hole of 4.100 ± 0.034 million solar masses at the Galactic Center, which powers the Sagittarius A* radio source.

BeppoSAX study of the broad-band properties of luminous globular cluster X-ray sources: Sidoli et al 2001 https://www.aanda.org/articles/aa/full/2001/11/aah2504/aah2504.right.html

http://chandra.harvard.edu/photo/2009/galactic/

https://www.pnas.org/content/107/16/7168

Chandra: Wang et al 2009

From 2009 individual point sources and gases have been identified

X-ray all sky surveys

http://pulsar.sternwarte.uni-erlangen.de/black-hole/1stschool/coursematerial/XrayDataArchivesAndSurveys.pdf

Uhuru 4U identified 339 X-ray sources

ROSAT 1RXS identified 18,811 sources

FSC identified 105,924 sources

XMM-Newton 3XMM DR8 identified 531,454 unique sources (1089 deg)

image

The X-ray Sky https://www.youtube.com/watch?v=SZUuxbY8Mqw

X-ray sky from the RXTE All sky monitor https://www.youtube.com/watch?v=eU12jeGAUSg

https://heasarc.gsfc.nasa.gov/docs/xte/learning_center/discover_0300.html https://heasarc.gsfc.nasa.gov/docs/xte/movies.html

https://imagine.gsfc.nasa.gov/science/objects/xray_transients1.html

The class of sources called “transients” was created to distinguish such sources as different from the more permanent, stable sources observed in the X-ray sky. It is important to remember that the object in the sky does not really disappear, just the X-ray emission we see coming from it.

Rossi X-ray Timing Explorer https://en.wikipedia.org/wiki/Rossi_X-ray_Timing_Explorer

X-ray images

https://en.wikipedia.org/wiki/Crab_Nebula

The Crab Nebula (catalogue designations M1, NGC 1952, Taurus A) is a supernova remnant in the constellation of Taurus.

image

A composite image of the Crab Nebula showing the X-ray (blue), and optical (red) images superimposed. The size of the X-ray image is smaller because the higher energy X-ray emitting electrons radiate away their energy more quickly than the lower energy optically emitting electrons as they move.

The_Crab_Nebula_-_A_Flickering_X-ray_Candle.ogv

Data from orbiting observatories show unexpected variations in the Crab Nebula’s X-ray output, likely tied to the environment around its central neutron star.

https://en.wikipedia.org/wiki/Supernova_remnant

A supernova remnant (SNR) is the structure resulting from the explosion of a star in a supernova. The supernova remnant is bounded by an expanding shock wave, and consists of ejected material expanding from the explosion, and the interstellar material it sweeps up and shocks along the way.

At the centre of the nebula lies the Crab Pulsar, a neutron star 28–30 kilometres across with a spin rate of 30.2 times per second, which emits pulses of radiation from gamma rays to radio waves. At X-ray and gamma ray energies above 30 keV, the Crab Nebula is generally the brightest persistent source in the sky, with measured flux extending to above 10 TeV.

https://en.wikipedia.org/wiki/Andromeda_Galaxy

The Andromeda Galaxy, also known as Messier 31, M31, or NGC 224, is a spiral galaxy approximately 780 kiloparsecs (2.5 million light-years) from Earth, and the nearest major galaxy to the Milky Way.

image

Chandra X-ray telescope image of the center of Andromeda Galaxy. A number of X-ray sources, likely X-ray binary stars, within the galaxy’s central region appear as yellowish dots. The blue source at the centre is at the position of the supermassive black hole.

V1223 Sagittarii

X-ray map of the region around V1223 Sgr obtained with INTEGRAL/IBIS/ISGRI in the energy band 18-60 keV

image

https://www.researchgate.net/figure/Power-spectra-of-V1223-Sgr-in-X-ray-and-in-optical-spectral-bands-Dashed-curves-denote_fig2_45902412

image

Power spectra of V1223 Sgr in X-ray and in optical spectral bands

http://chandra.harvard.edu/photo/2017/casa_life/

Chandra Reveals the Elementary Nature of Cassiopeia A

image

A new Chandra image shows the location of several elements produced by the explosion of a massive star.

Cassiopeia A is a well-known supernova remnant located about 11,000 light years from Earth.

Supernova remnants and the elements they produce are very hot — millions of degrees — and glow strongly in X-ray light.

Chandra’s sharp X-ray vision allows scientists to determine both the amount and location of these crucial elements objects like Cas A produce.

https://en.wikipedia.org/wiki/X-ray_burster

X-ray bursters are one class of X-ray binary stars exhibiting periodic and rapid increases in luminosity (typically a factor of 10 or greater) that peak in the X-ray regime of the electromagnetic spectrum. These astrophysical systems are composed of an accreting compact object, and a main sequence companion ‘donor’ star. A compact object in an X-ray binary system consists of either a neutron star or a black hole; however, with the emission of an X-ray burst, the companion star can immediately be classified as a neutron star, since black holes do not have a surface and all of the accreting material disappears past the event horizon. The donor star’s mass falls to the surface of the neutron star where the hydrogen fuses to helium which accumulates until it fuses in a burst, producing X-rays.

https://slideplayer.com/slide/9056004/

image

The burst is thermonuclear runaway

Uneven as accretion disc flares

image

image

XMM-Newton image of M 31

https://www.esa.int/Our_Activities/Space_Science/X-rays_provide_a_new_way_to_investigate_exploding_stars

9 May 2007

ESA’s X-ray observatory XMM-Newton has revealed a new class of exploding stars – where the X-ray emission ‘lives fast and dies young’.

Exploding stars called novae remain a puzzle to astronomers. “Modelling these outbursts is very difficult,” says Wolfgang Pietsch of the Max Planck Institut für Extraterrestrische Physik. Now, ESA’s XMM-Newton and NASA’s Chandra space-borne X-ray observatories have provided valuable information about when individual novae emit X-rays.

Between July 2004 and February 2005, the X-ray observatories watched the heart of the nearby galaxy, Andromeda, also known to astronomers as M31. During that time, Pietsch and his colleagues monitored novae, looking for the X-rays.

They detected that eleven out of the 34 novae that had exploded in the galaxy during the previous year were shining X-rays into space. “X-rays are an important window onto novae. They show the atmosphere of the white dwarf,” says Pietsch.

White dwarfs are hot stellar corpses left behind after the rest of the star has been ejected into space. A typical white dwarf contains about the mass of the Sun, in a spherical volume little bigger than the Earth. Given its density, it has a strong pull of gravity. If in orbit around a normal star, it may rip gas from the star.

This material builds up on the surface of the white dwarf until it reaches sufficient density for a nuclear detonation. The resultant explosion creates a nova visible in the optical region for a few to a hundred days. However, these particular events are not strong enough to destroy the underlying white dwarf.

The X-ray emission becomes visible some time after the detonation, when the matter ejected by the nova thins out. This allows astronomers to peer down to the atmosphere of the white dwarf, which is burning by nuclear fusion.

At the end of the process, the X-ray emission stops when the fuel is exhausted. The duration of this X-ray emission traces the amount of material left on the white dwarf after the nova has ended.

A well determined start time of the optical nova outburst and the X-ray turn-on and turn-off times are therefore important benchmarks, or constraints, for replication in computer models of novae.

https://spaceflightnow.com/news/n0106/11whitedwarf/

On 1989 May 22, the Japanese X-ray satellite Ginga detected an X-ray nova outburst which was designated GS 2023+338. It soon became clear that the position of this outburst coincided with an optical nova discovered in 1938 by A. A. Wachmann and designated V404 Cygni.

image

https://www.youtube.com/watch?v=lm5Eo65OCDc

https://www.star.le.ac.uk/sav2/rs.pdf Random time series in Astronomy

image

Examples of slow and fast variability. These show the X-ray brightness of the neutron star X-ray binary system 4U1608 − 52 as recorded by RXTE. (MJD=Modied Julian Date, one of the standard time systems astronomers use.) The upper panel shows the long-term evolution of the system (as observed by the All Sky Monitor instrument): the source goes through a series of outbursts lasting days-weeks separated by extended quiescent intervals. The middle panel emphasises one particular outburst from early 1998. The dot indicates the time of the observation shown in the bottom panel (27 March 1998), a single observation lasting <1 hour with the Proportional Counter Array (PCA) instrument, shown at a time resolution of ∆t = 1s. On this time resolution we see two prominent features: relatively stable emission at a count rate of ∼ 500 ct s1 and an X-ray burst (with a roughly exponential prole, e-folding time ∼ 5s) with a peak count rate a factor ∼ 80 above the previous level (the peak of the burst is not shown). The section of the data not affected by the burst shows small-scale variations on a range of timescales that are not apparent in this plot.

https://academic.oup.com/mnras/article/435/4/2822/1022780

The INTEGRAL and Swift hard X-ray surveys have identified a large number of new sources, among which many are proposed as Cataclysmic Variables (CVs).

Cataclysmic Variable stars (CVs) are binary system in which a white dwarf (WD) accretes matter from a late-type main-sequence or sub-giant star.

image

Swift J1907 background-subtracted light curve in three energy bands: PN 0.3–15 keV (top), B (centre), UVM2 (bottom). The binning time is 150 s in all bands.

image

Swift J1907: (Upper panel) Suzaku/XIS light curves of Swift J1907, in two energy bands. (Lower panel) The hardness ratio (HR) as a function of time. The vertical dashed lines define the flare interval used in Fourier analysis. Fourier analysis can also distinguish the orbital of the system and the spin of a star.

http://www.esa.int/Our_Activities/Space_Science/Missing_link_found_between_X-ray_and_radio_pulsars

http://www.esa.int/spaceinvideos/Videos/2013/09/Pulsar_caught_in_evolutionary_change

25 September 2013: Astronomers using ESA’s Integral and XMM-Newton space observatories have caught a fast-spinning ‘millisecond pulsar’ in a crucial evolutionary phase for the first time, as it swings between emitting pulses of X-rays and radio waves.

Pulsars are spinning, magnetised neutron stars, and the dead cores of massive stars that exploded as a dramatic supernova after having burned up their fuel. As they spin, they sweep out pulses of electromagnetic radiation hundreds of times per second, like beams from a lighthouse. This tells us that the spin period of the neutron stars can be as short as a few milliseconds.

Pulsars are classified according to how their emission is generated. For example, radio pulsars are powered by the rotation of their magnetic field, while X-ray pulsars are fuelled by the accretion of material siphoned off from a companion star.

The future

Athena 2031 https://en.wikipedia.org/wiki/Advanced_Telescope_for_High_Energy_Astrophysics

The Advanced Telescope for High ENergy Astrophysics (ATHENA) is a future X-ray telescope of the European Space Agency, under development for launch around 2031.[1] It is the second (L2) large class mission within ESA Cosmic Vision Program.[3] ATHENA will be one hundred times more sensitive than the best of existing X-ray telescopes—the Chandra X-ray Observatory and XMM-Newton.[4]

The primary goals of the mission are to map hot gas structures, determining their physical properties, and searching for supermassive black holes, revealing the hot and energetic universe.

XEUS à IXO à ATHENA

The mission has its roots in two mission concepts from the early 2000s, for the ESA XEUS and NASA Constellation-X missions.

https://en.wikipedia.org/wiki/XEUS

XEUS (X-ray Evolving Universe Spectroscopy) was a space observatory plan developed by the European Space Agency as a successor to the successful XMM-Newton X-ray satellite telescope. It was merged to the International X-ray Observatory around 2008, but as that project ran into issues in 2010, the ESA component was forked off into Advanced Telescope for High Energy Astrophysics (ATHENA).

https://en.wikipedia.org/wiki/International_X-ray_Observatory

The International X-ray Observatory (IXO) is a cancelled X-ray telescope that was to be launched in 2021 as a joint effort by NASA, the European Space Agency (ESA), and the Japan Aerospace Exploration Agency (JAXA).

Where are the hot baryons and where do they evolve?

https://www.the-athena-x-ray-observatory.eu/32-athena-mission-proposal-and-white-paper-2/90-the-missing-baryons-and-the-whim.html

The missing baryons and the WHIM

Athena will study how hot baryons assemble into groups and clusters of galaxies, determine their chemical enrichment across cosmic time, measure their mechanical energy and characterise the missing baryons which are expected to reside in intergalactic filamentary structures. At the same time, it will study the physics of accretion into compact objects, find the earliest accreting supermassive black holes and trace their growth even when in very obscured environment, and show how they influence the evolution of galaxies and clusters through feedback processes. Athena will also have a fast target of opportunity observational capability, enabling studies and usage of GRBs and other transient phenomena. As an observatory, Athena will offer vital information on high-energy phenomena on all classes of astrophysical objects, from solar system bodies to the most distant objects known.

Athena will track obscured accretion through the epoch of galaxy formation. It is hoped it will reveal the cause and effect of the cosmic field background.

It will have a large collecting area and a high angular resolution.

http://space.biz.pl/wp-content/uploads/2018/05/ESA-Stephane-Combes.pdf

image

ATHENA Objective: Spatially resolved X-ray spectroscopy and wide field spectral imaging of Hot Structures and Black Holes (0.1-15 keV)

Main Requirements:

• (IFU) 5 arcsec angular resolution (HEW) imaging

• Mirror effective area on-axis: 1.4 m2 @ 1 keV

• 2.5 eV spectral resolution @ 6 keV

• Target of Opportunity reaction time <4 h (for 67% cases)

Status:

• Phase A extension till summer 2019 (Mission Formulation Review)

• Mission Adoption Nov 2021

• Launch in 2031

ATHENA Payload:

image

Two instruments:

• Wide Field Imager (WFI): APS (DEPFET sensor) camera with 40’ FoV (~270 kg mass)

• X-ray Integral Field Unit (X-IFU): cryocooler TES detector-based spectroscopy (~770 kg mass)

Mirror Assembly Module: based on SPO (silicon pore optics) technology

• 12 m focal length

• 2.4 m diam

• 750 kg

image

ATHENA – Spacecraft

• Launch Mass: <7.000 kg

• Mirror and Focal Plane separated by Carbon Fibre fixed metering structure

• Large LV I/F (3936 mm) to fit the Mirror

• SVM positioned along the tube

• Mirror Assembly tilted by mechanism (hexapod) to switch between the two instruments

• Need of metrology system to measure Telescope Line-of-Sight misalignment (lateral offset between mirror and detector)

https://www.isdc.unige.ch/extp/

The enhanced X-ray Timing and Polarimetry mission (eXTP) is a science mission designed to study the state of matter under extreme conditions of density, gravity and magnetism. Primary goals are the determination of the equation of state of matter at supra-nuclear density, the measurement of QED effects in highly magnetized star, and the study of accretion in the strong-field regime of gravity. Primary targets include isolated and binary neutron stars, strong magnetic field systems like magnetars, and stellar-mass and supermassive black holes.

The eXTP international consortium includes major institutions of the Chinese Academy of Sciences and Universities in China, as well as major institutions in several European countries and other Internatinal partners.

eXTP is an enhanced mission concept based on the XTP mission, enabled by the collaboration between Chinese and European institutions. The predecessor of eXTP, the XTP mission concept, has been selected and funded as one of the so-called background missions in the Strategic Priority Space Science Program of the Chinese Academy of Sciences since 2011. The strong European participation has significantly enhanced the scientific capabilities of eXTP. The planned launch date of the mission is earlier than 2025.

image

The mission carries a unique and unprecedented suite of state-of-the-art scientific instruments enabling for the first time ever the simultaneous spectral-timing-polarimetry studies of cosmic sources in the energy range from 0.5-30 keV (and beyond). Key elements of the payload are:

the Spectroscopic Focusing Array (SFA): a set of 9 X-ray optics operating in the 0.5-10 keV energy band with a field-of-view (FoV) of 12 arcmin each and a total effective area of ∼0.8 m2 and 0.5 m2 at 2 keV and 6 keV respectively. The telescopes are equipped with Silicon Drift Detectors offering <180 eV spectral resolution.

the Large Area Detector (LAD): a deployable set of 640 Silicon Drift Detectors, achieving a total effective area of ∼3.4 m2 between 6 and 10 keV. The operational energy range is 2-30 keV and the achievable spectral resolution better than 250 eV. This is a non-imaging instrument, with the FoV limited to <1° FWHM by the usage of compact capillary plates.

the Polarimetry Focusing Array (PFA): a set of 4 X-ray telescope, achieving a total effective area of 900 cm2 at 2 keV, equipped with imaging gas pixel photoelectric polarimeters. The FoV of each telescope is 12 arcmin and the operating energy range is 2-10 keV.

the Wide Field Monitor (WFM): a set of 3 coded mask wide field units, equipped with position-sensitive Silicon Drift Detectors, covering in total a FoV of 3.7 sr and operating in the energy range 2-50 keV.

Polarisation can tell us about the magnetic field structure

https://en.wikipedia.org/wiki/Multi-messenger_astronomy

Multi-messenger astronomy is astronomy based on the coordinated observation and interpretation of disparate “messenger” signals. Interplanetary probes can visit objects within the Solar System, but beyond that, information must rely on “extrasolar messengers”. The four extrasolar messengers are electromagnetic radiation, gravitational waves, neutrinos, and cosmic rays. They are created by different astrophysical processes, and thus reveal different information about their sources.

https://en.wikipedia.org/wiki/THESEUS_(spacecraft)

Transient High-Energy Sky and Early Universe Surveyor (THESEUS) is a space telescope mission proposal by the European Space Agency that would study gamma-ray bursts and X-rays for investigating the early universe. If developed, the mission would investigate star formation rates and metallicity evolution, as well as studying the sources and physics of reionization.

THESEUS: a key space mission concept for Multi-Messenger Astrophysics

The main multi-messenger sources outside the heliosphere are expected to be compact binary pairs (black holes and neutron stars), supernovae, irregular neutron stars, gamma-ray bursts, active galactic nuclei, and relativistic jets.

THESEUS aims at providing a substantial advancement in early Universe science as well as in multi–messenger and time–domain astrophysics, operating in strong synergy with future gravitational wave and neutrino detectors as well as major ground- and space-based telescopes.

http://inspirehep.net/record/1644590

image

THESEUS within the multi-messenger Astrophysics context of 2020-2030. Green and orange labels are for presently operating and future planned or under construction instruments (Figure credit: S. Schanne).

http://inspirehep.net/record/1644590/plots#2

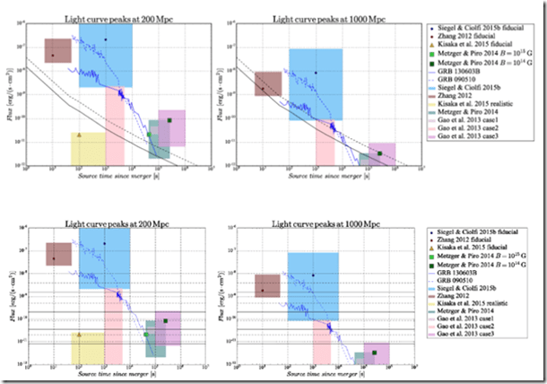
image

Expected X-ray fluxes at peak luminosity from two different luminosity distances (z = 0.05 on the left panel, and z = 1 on the right panel) and from different models of magnetar-powered X-ray emission from long-lived NS-NS merger remnants.

Questions and answers

Will the Chinese share data?

Probably, yes

External influence on black holes produces X-rays

Absorption spectra of X-rays can give some information

How can astronauts be protected from X-rays during long missions?

Use shielding, however this is heavy so will be a challenge

It is possible to measure energy of individual photons. You can localise the part of the X-ray spectrum

In space 500keV is the energy division between X-rays and gamma

Radiation damage of a satellite is a problem. CCDs can be damaged by cosmic rays, detectors become degraded.

Work is being done using balloons to carry equipment

Leave a comment